服務熱線
0769-28680919
153-2293-3971

1 概述
機器視覺鏡頭透鏡由于制造精度以及組裝工藝的偏差會引入畸變,導致原始圖像的失真,即圖像畸變。
在前一篇文章《機器視覺模型——投影矩陣》中描述了機器視覺系統成像模型,在這個模型里包含了相機內參(與像元尺寸、焦距、像素中心有關)以及相機外參(與相機在世界坐標系的位姿有關),這個模型是一個理想模型,或者說線性模型,沒有考慮到鏡頭透鏡產生的畸變所帶來的影響。
結合上文成像模型,可以把畸變理解成像點和物點之間的光線是彎曲的,如下圖所示。

圖中本來應該共線的三個點O、P、Q,現在由于透鏡的某種偏差原因而不共線了,Pcrt被成像在了P點,很明顯,此時的關系不再是前文討論的矩陣關系了,也就是說,在畸變存在的條件下,用前文的矩陣公式計算出來的結果是不正確的。
所以,在用這個視覺模型矩陣公式前,需要先把產生的畸變消除掉,與前文同樣原理,如果透鏡畸變能用一個數學模型或者數學公式來表達,我們就可以很方便地消除畸變,我們把這個模型稱為“畸變模型”。
2 透鏡的畸變
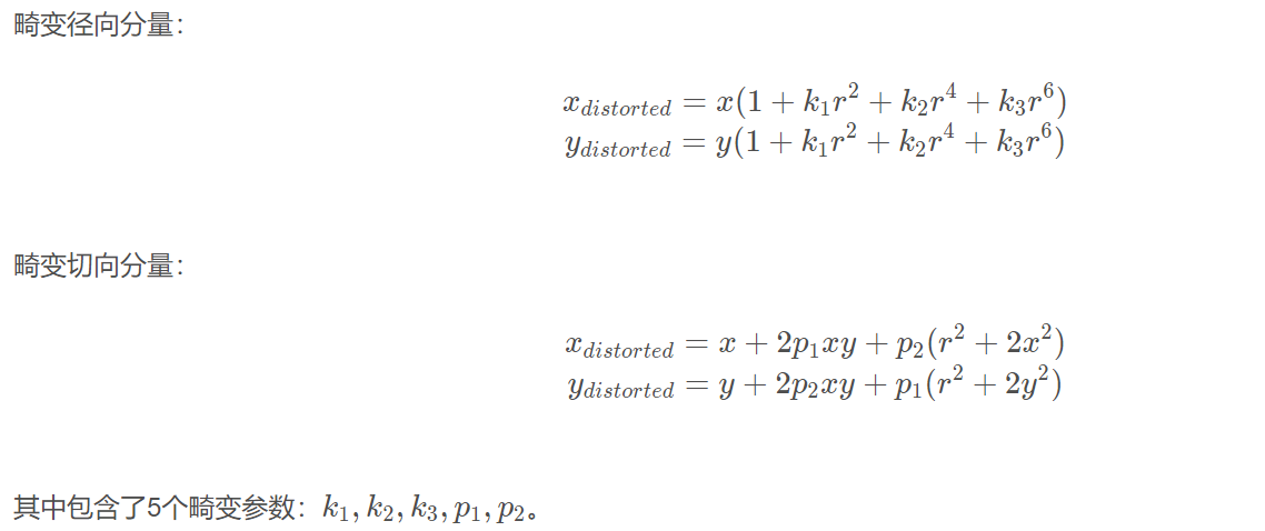
透鏡的畸變主要包括:徑向畸變、切向畸變、薄透鏡畸變等等,但最顯著的是徑向畸變和切向畸變,所以我們這個模型里只考慮這兩種畸變。同時,圖像的畸變是兩種畸變的組合,因此把整個畸變分解為徑向畸變分量和切向畸變分量。
2.1 徑向畸變
徑向畸變:就是沿著透鏡半徑方向分布的畸變,如我們所熟知的魚眼鏡頭產生的畸變、枕形畸變、桶形畸變等。


下圖為徑向畸變的分布,一般越遠離中心越嚴重。


2.2 切向畸變
切向畸變:是由于透鏡本身與相機傳感器平面(像平面)或圖像平面不平行而產生的,這種情況多是由于透鏡被粘貼到鏡頭模組上的安裝偏差導致,如下圖所示。


隨著相機制造工藝的大大提升,這種情況很少出現了,所以很多時候已經可以不考慮切向畸變。
下圖為切向畸變的分布


3 機器視覺畸變模型
綜上,可以得到機器視覺系統透鏡畸變模型如下

對于一個給定的鏡頭成像系統,這5個畸變參數怎么獲得?這就涉及到“相機標定”,即需要根據一系列已知的若干對原成像點與畸變成像點的坐標值,帶入以上公式來解出,具體的限于篇幅這里不詳細討論。
————————————————
版權聲明:本文為CSDN博主「寒韓Glory」的原創文章,遵循CC 4.0 BY-SA版權協議,轉載請附上原文出處鏈接及本聲明。
原文鏈接:https://blog.csdn.net/hangl_ciom/article/details/106252235
視覺系統能夠應用在晶圓制造中的哪些方面?
2025-09-04
視覺系統在晶圓制造中是不可或缺的核心技術,貫穿整個工藝流程,對保證良率、提高效率和實現自動化至關重要。
康耐德智能硅錠切割定位ccd視覺系統
2025-09-04
在半導體制造流程中,硅錠需要被精確切割成薄片(即晶圓),以便后續加工。切割的精度直接影響到晶圓的質量和后續生產的良品率。視覺定位系統在這一過程中發揮著至關重要的作用。
CCD視覺檢測設備在醫療影像分析中的應用
2025-08-29
CCD視覺檢測設備在醫療影像分析中的應用主要體現
CCD視覺檢測設備在新能源電池制造中的應用
2025-08-29
CCD視覺檢測設備在新能源電池制造中扮演著至關重要的角色,是實現高精度、高效率、高一致性和高安全性的核心裝備之一。隨著新能源汽車和儲能市場的爆發式增長,對電池質量和生產自動化的要求不斷提高,CCD視覺檢測的應用變得不可或缺。
官方公眾號
官方抖音號Copyright ? 2022 東莞康耐德智能控制有限公司版權所有.機器視覺系統 粵ICP備2022020204號-1 聯系我們 | 網站地圖